Otero County Commissioners Meeting Dec 5, 2022

Description: (Press Play to Watch the Meeting Video from Monday, December 5, 2022) Article Includes Employee Service Awards, 2023 County Budget and Associated Resolutions, and Letter of Support for Clean Valley Recycling.

Otero County Commissioners Meeting Dec 5, 2022
The Otero County Commissioners presented Otero County employees service awards and passed their 2023 budget among numerous other resolutions. The board also signed a letter of support for a grant application for Clean Valley Recycling.
Watch the Meeting Video Here:

Otero County 2022 Employee Service Awards Presentation
Watch the 2022 Otero County Employee Service Awards Video Here:
Otero County Commissioners December 5, 2022 Meeting Agenda:

As part of the consent agenda items, the Otero County Commissioners approved their minutes from their previous meeting on November 28, 2022.

The Otero County Commissioners passed Resolution 2022-13, adopting the 2023 Budget.


The Otero County Commissioners unanimously passed Resolution 2022-14, setting the Mill Levies, and establishing the county property taxes for 2023.

The Commissioners unanimously passed Resolution 2022-15, Appropriating Monies into Various Funds and Spending Agencies.

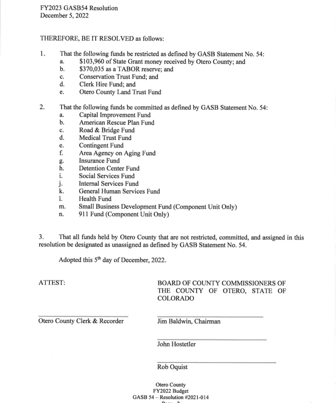
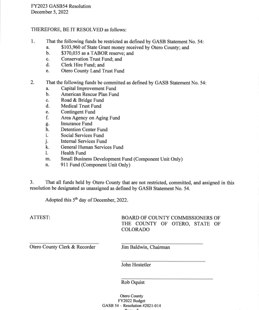
The Otero County Commissioners passed Resolution 2022-16, which adopted accounting standards for fiscal year 2023.


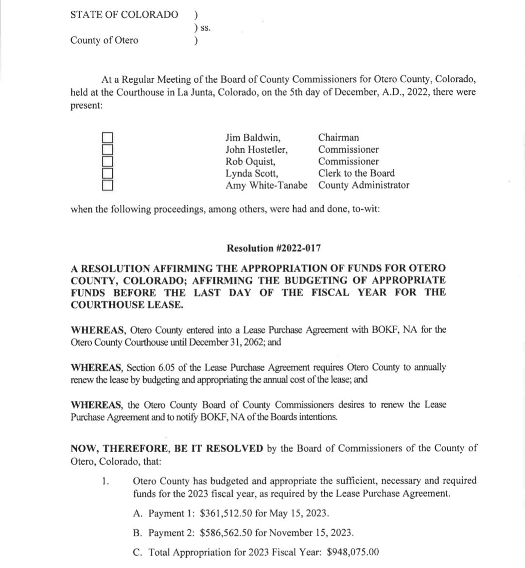
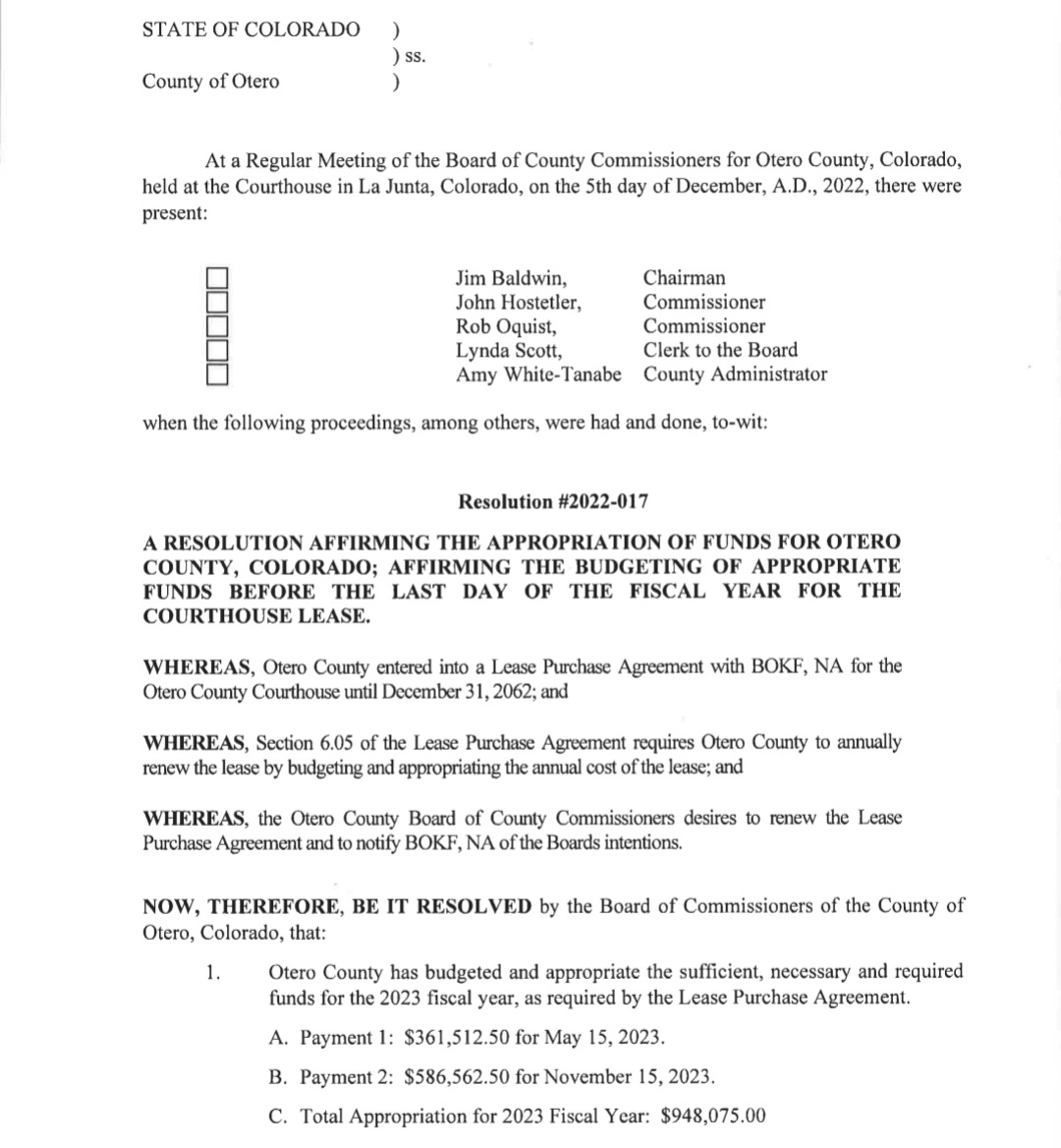
The Otero County Commissioners passed Resolution 2022-17, regarding allocation of funds for the Otero County Courthouse lease payments.


The Otero County Commissioners Signed a Letter of Support for Clean Valley Recycling.

Watch the Video Here:
Follow SECO News on Facebook.
Subscribe to the SECO News YouTube Channel.
The Otero County Commissioner's Calendar:
Follow SECO News on Facebook.
Subscribe to the SECO News YouTube Channel.
















.png)


.png)






.png)



.png)


.png)







